UAT COMUNA COMANA ANUNȚĂ DECLANȘAREA UNEI PROCEDURI DE TRANSFER LA CERERE PENTRU UN POST AFERENT UNEI FUNCȚII PUBLICE DE CONDUCERE DE SECRETAR GENERAL
Anunț din data de 17.03.2026
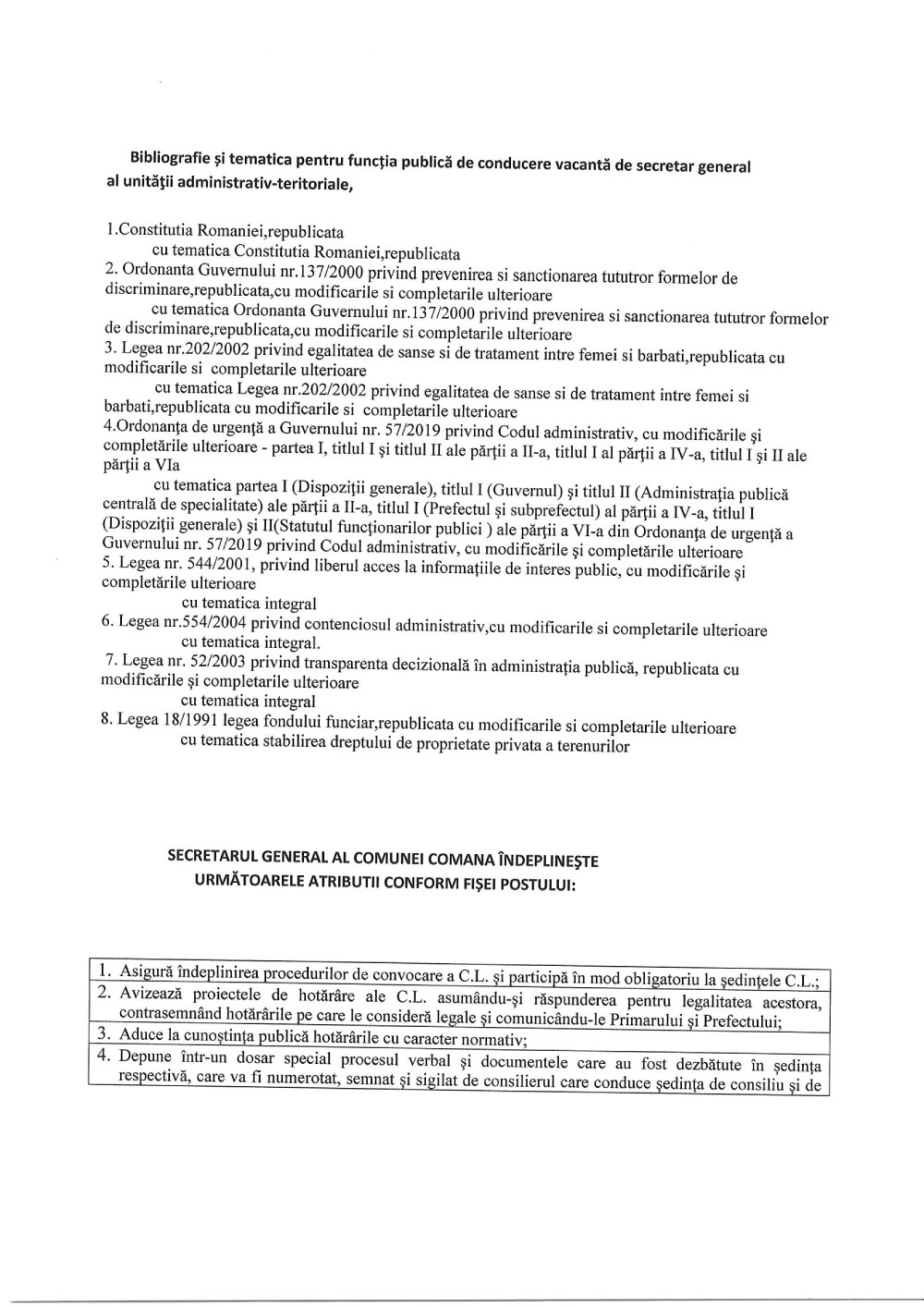
privind declansarea unei proceduri de transfer la cerere, pentru ocuparea functiei publice de conducere Secretar General al UATdin cadrul aparatului de specilitate al Primarului UAT Comuna Comana, UAT Comuna Comana in temeiul prevederilor art. 502 alin. (1) lit. c) si art. 506alin. (1) lit. a), alin. (2), (5), (6), (7), (81) si (9) din Ordonanta de urgenta a Guvernului nr. 57/2019 privind Codul administrativ, cu modificarile si completarile ulterioare, anunta declansarea unei proceduri de transfer la cerere, pentru ocuparea unui post aferent functiei publice de conducere vacante de secretar general al unitatii administrativ-teritoriale.
Precizam ca potrivit dispozitiilor art. 5 alin. (1) din Regulamentul privind ocuparea unei functii publice vacante din cadrul aparatului de specialitate al Primarului Comunei Comana, prin transfer:
Transferul la cerere se face la solicitarea functionarului public si cu aprobarea conducdtorului autoritatii sau institutiei publice in care urmeaza sa isi desfasoare activitatea functionarul public.
Autoritatea sau institutia publica in cadrul cdreia s-a aprobat transferul la cerere al functionarului public instiinteaza cu celeritate autoritatea sau institutia public in cadrul căreia isi desfasoara activitatea functionarul public, despre aprobarea cererii de transfer. În termen de maximum 20 zile lucratoare de la primirea inștiintarii, conducatorul autoritatii sau institutiei publice în care isi desfășoara activitatea functionarul public are obligatia să emită actul administrativ de modificare a raporturilor de serviciu ale functionarului public, cu precizarea datei de la care opereaza transferul la cerere. Data de la care opereaza transferul la cerere nu poate depasi 30 de zile calendaristice de la data emiterii actului administrativ.
Persoanele interesate sunt invitate să depuna la la Serviciul Resurse Umane din cadrul aparatului de specialitate al Com. Comana, Jud.Brasov cu sediul in Comana de Jos, str. Principala, nr.3, Jud.Brasov, prin email: comana2005@yahoo.com, persoană de contact, Monea Livia Rodica, tel 0756277198, in termen de 20 zile lucrătoare de la data afisarii anuntului.
CLICK PE IMAGINI PENTRU A DESCĂRCA DOCUMENTUL INTEGRAL ÎN FORMAT PDF.























